You can also download a PDF copy of this lecture.

Review of Linear Functions of Model Parameters

Consider a regression model with parameters \(\beta_0, \beta_1, \dots, \beta_k\). Sometimes our inferences concern a linear function of the form \[ \ell = a_0\beta_0 + a_1\beta_1 + a_2\beta_2 + \cdots + a_k\beta_k + b, \] where \(a_0, a_1, \dots, a_k\) and \(b\) are user-specified coefficients (frequently \(b=0\), and to simplify what follows assume \(b=0\)). Often (but not always) quantities of interest can be expressed as linear functions.

Example: Consider the linear model \[ E(G_i) = \beta_0 + \beta_1 d_i + \beta_2 t_i + \beta_3d_it_i. \] for the whiteside data, where \(G_i\) is gas consumption, \(t_i\) is temperature, and \(d_i\) is an indicator variable for after insulation such that \[ d_i = \begin{cases} 1, & \text{if the $i$-th observation is after insulation}, \\ 0, & \text{otherwise}. \end{cases} \] Then we can write the model case-wise as \[ E(G_i) = \begin{cases} \beta_0 + \beta_2 t_i, & \text{if $i$-th observation is before insulation}, \\ \beta_0 + \beta_1 + (\beta_2 + \beta_3) t_i, & \text{if $i$-th observation is after insulation}. \end{cases} \] Several quantities that might be of interest can be written as linear functions. The lincon and contrast functions facilitate inferences regarding linear function. First we specify the model.

m <- lm(Gas ~ Insul + Temp + Insul:Temp, data = MASS::whiteside)
summary(m)$coefficients
                Estimate Std. Error t value  Pr(>|t|)
(Intercept)       6.8538    0.13596  50.409 7.997e-46
InsulAfter       -2.1300    0.18009 -11.827 2.316e-16
Temp             -0.3932    0.02249 -17.487 1.976e-23
InsulAfter:Temp   0.1153    0.03211   3.591 7.307e-04

Now consider the following linear functions.

Rate of change before insulation: \(\ell = 0\beta_0 + 0\beta_1 + 1\beta_2 + 0\beta_3 = \beta_2.\)

library(trtools)
lincon(m, a = c(0,0,1,0))
            estimate      se   lower   upper tvalue df    pvalue
(0,0,1,0),0  -0.3932 0.02249 -0.4384 -0.3481 -17.49 52 1.976e-23
contrast(m, 
  a = list(Insul = "Before", Temp = 1),
  b = list(Insul = "Before", Temp = 0))
 estimate      se   lower   upper tvalue df    pvalue
  -0.3932 0.02249 -0.4384 -0.3481 -17.49 52 1.976e-23

Rate of change after insulation: \(\ell = 0\beta_0 + 0\beta_1 + 1\beta_2 + 1\beta_3 = \beta_2 + \beta_3.\)

lincon(m, a = c(0,0,1,1))
            estimate      se   lower   upper tvalue df    pvalue
(0,0,1,1),0  -0.2779 0.02292 -0.3239 -0.2319 -12.12 52 8.936e-17
contrast(m, 
  a = list(Insul = "After", Temp = 1),
  b = list(Insul = "After", Temp = 0))
 estimate      se   lower   upper tvalue df    pvalue
  -0.2779 0.02292 -0.3239 -0.2319 -12.12 52 8.936e-17

Expected gas consumption before insulation at 5C: \(\ell = 1\beta_0 + 0\beta_1 + 5\beta_2 + 0\beta_3 = \beta_0 + 5\beta_2.\)

lincon(m, a = c(1,0,5,0))
            estimate      se lower upper tvalue df    pvalue
(1,0,5,0),0    4.888 0.06383  4.76 5.016  76.57 52 3.885e-55
contrast(m, a = list(Insul = "Before", Temp = 5))
 estimate      se lower upper tvalue df    pvalue
    4.888 0.06383  4.76 5.016  76.57 52 3.885e-55

Technical Details

To estimate \(\ell\) we simply replace \(\beta_0, \beta_1, \dots, \beta_k\) with estimates to obtain \[ \hat\ell = a_0\hat\beta_0 + a_1\hat\beta_1 + \cdots + a_k\hat\beta_k. \] To compute the variance of \(\hat\ell\) we use the result that \[ \text{Var}(\hat\ell) = \sum_{\vphantom{j'=0} j=0}^k\sum_{\mathstrut j'=0}^k a_ja_{j'}\text{Cov}(\hat\beta_j,\hat\beta_{j'}), \] where \(\text{Cov}(\hat\beta_j,\hat\beta_{j'})\) is the covariance between the estimators \(\hat\beta_j\) and \(\hat\beta_{j'}\), and note that the covariance of an estimator with itself is its variance — i.e., \(\text{Cov}(\hat\beta_j,\hat\beta_{j}) = \text{Var}(\hat\beta_j)\).

Example: If we had the model \(E(Y_i) = \beta_0 + \beta_1 x_i\) then the covariances can be arranged in a matrix as \[ \begin{bmatrix} \text{Cov}(\hat\beta_0,\hat\beta_0) & \text{Cov}(\hat\beta_0,\hat\beta_1) \\ \text{Cov}(\hat\beta_1,\hat\beta_0) & \text{Cov}(\hat\beta_1,\hat\beta_1) \end{bmatrix} = \begin{bmatrix} \text{Var}(\hat\beta_0) & \text{Cov}(\hat\beta_0,\hat\beta_1) \\ \text{Cov}(\hat\beta_0,\hat\beta_1) & \text{Var}(\hat\beta_1) \end{bmatrix}, \] noting that the covariance of a variable with itself is its variance, and covariances are symmetric in the sense that \(\text{Cov}(\hat\beta_0,\hat\beta_1) = \text{Cov}(\hat\beta_0,\hat\beta_1)\). If we wanted to compute the variance of the linear function \(\ell = 1\beta_0 + 5\beta_1\) so that \(a_0 = 1\) and \(a_1 = 5\), then the variance of \(\hat\ell\) would be \[ \text{Var}(\hat\ell) = 1 \times 1 \times \text{Var}(\hat\beta_0) + 1 \times 5 \times \text{Cov}(\hat\beta_0,\hat\beta_1) + 5 \times 1 \times \text{Cov}(\hat\beta_0,\hat\beta_1) + 5 \times 5 \times \text{Var}(\hat\beta_1), \] which simplifies to \[ \text{Var}(\hat\ell) = \text{Var}(\hat\beta_0) + 10\text{Cov}(\hat\beta_0,\hat\beta_1) + 25\text{Var}(\hat\beta_1). \]

Typically we only have estimates of the variances and covariances so we can only compute an estimate of \(\text{Var}(\hat\ell)\) denoted as \(\widehat{\text{Var}}(\hat\ell)\). The square root of this estimate is the standard error you usually see reported by R functions like contrast and lincon. The confidence interval for \(\ell\) is then \[ \hat\ell \pm t\sqrt{\widehat{\text{Var}}(\hat\ell)} \ \ \text{or} \ \ \hat\ell \pm z\sqrt{\widehat{\text{Var}}(\hat\ell)}, \]
and the test statistic is \[ \frac{\hat\ell - \ell}{\sqrt{\widehat{\text{Var}}(\hat\ell)}}, \] where typically \(\ell = 0\) because the null hypothesis is that \(H_0\!: \ell = 0\). This is the test statistic you typically see reported by R functions like contrast and lincon.

The Delta Method

The delta method is used to approximate the sampling distribution of a nonlinear function of model parameters.

Example: Consider a logistic regression model for the bliss data. The model can be written as \[ \log\left[\frac{E(Y)}{1-E(Y)}\right] = \beta_0 + \beta_1 x, \] where \(x\) is concentration. The \(\text{LD}_{50}\) is the value of \(x\) (e.g., dose, concentration) such that the expected proportion of deaths is 0.5 so that \[ \log\left[\frac{0.5}{1-0.5}\right] = \beta_0 + \beta_1\text{LD}_{50}. \] Solving for \(\text{LD}_{50}\) gives \[ \text{LD}_{50} = \frac{-\beta_0}{\beta_1}. \] An estimator of \(\text{LD}_{50}\) is \[ \widehat{\text{LD}}_{50} = \frac{-\hat\beta_0}{\hat\beta_1}, \] but this is a nonlinear function of \(\hat\beta_0\) and \(\hat\beta_1\).

Technical Details

The delta method uses the following results:

  1. Nonlinear functions of the model parameters can be “locally approximated” by a linear function (see below).

  2. As \(n\) increases sampling distributions become increasingly “concentrated” in a location near the actual quantity being estimated.

  3. If the sampling distribution of \(\hat\beta_0,\hat\beta_1,\dots,\hat\beta_k\) is approximately (multivariate) normal, then the sampling distribution of an (approximately) linear function of these estimators is also approximately normal.

Let \(f(\beta_0,\beta_1,\dots,\beta_k)\) be a function of \(\beta_0, \beta_1, \dots, \beta_k\) such as \(f(\beta_0,\beta_1) = -\beta_0/\beta_1\). Using some calculus it can be shown that in many practical cases we can approximate \(f(\beta_0,\beta_1,\dots,\beta_k)\) at any specific point (i.e., “locally”) by \[ \ell \approx c + d_0\beta_0 + d_1\beta_1 + \cdots + d_k\beta_k, \] where \(c\) is a constant. The coefficients \(d_0, d_1, \dots, d_1\) are the partial derivatives of \(f(\beta_0,\beta_1,\dots,\beta_k)\) at given values of \(\beta_0, \beta_1, \dots, \beta_k\) so that \[ d_j = \frac{\partial f(\beta_0,\beta_1,\dots,\beta_k)}{\partial \beta_j}. \] We approximate \(f(\beta_0,\beta_1,\dots,\beta_k)\) at \(f(\hat\beta_0,\hat\beta_1,\dots,\hat\beta_k)\). Then we can compute \[ \text{Var}[f(\hat\beta_0,\hat\beta_1,\dots,\hat\beta_k)] \approx \sum_{\vphantom{j'=0} j=0}^k\sum_{j'=0}^k d_jd_{j'}\text{Cov}(\hat\beta_j,\hat\beta_{j'}), \] where the partial derivatives are evaluated at the parameter estimates. The main mathematical challenge perhaps is evaluating the partial derivatives. This may be done analytically or numerically.

Example: Consider again the problem of making inferences regarding \(\text{LD}_{50} = -\beta_0/\beta_1\). The dmethod function from the trtools package implements the delta method, using numerically approximated derivatives for greater flexibility.

library(trtools)
m <- glm(cbind(dead, exposed - dead) ~ concentration, family = binomial, data = bliss)
cbind(summary(m)$coefficients, confint(m))
              Estimate Std. Error z value  Pr(>|z|)    2.5 %   97.5 %
(Intercept)   -14.8084    1.28976  -11.48 1.633e-30 -17.4785 -12.4089
concentration   0.2492    0.02138   11.65 2.250e-31   0.2095   0.2935
dmethod(m, pfunc = "-b0/b1", pname = c("b0","b1"))
 estimate     se lower upper tvalue  df pvalue
    59.43 0.5287 58.39 60.47  112.4 Inf      0

Example: The “instantaneous” marginal effect of dose for the logistic model for the bliss data is the slope of a tangent line at a given value of dose (\(x\)). A little calculus shows that this is \[ \frac{\partial}{\partial x}\frac{e^{\beta_0+\beta_1x}}{1 + e^{\beta_0+\beta_1x}} = \frac{\beta_1e^{\beta_0 + \beta_1 x}}{(1 + e^{\beta_0 + \beta_1 x})^2}. \] Here is the estimate of the instantaneous marginal effect at the (estimated) \(\text{LD}_{50}\) from above.

dmethod(m, pfunc = "b1*exp(b0+b1*59.43)/(1+exp(b0+b1*59.43))^2", pname = c("b0","b1"))
 estimate       se   lower   upper tvalue  df    pvalue
  0.06229 0.005346 0.05181 0.07277  11.65 Inf 2.245e-31

The margeff function does the same thing but computes the derivative above numerically.

margeff(m, delta = 0.001,
 a = list(concentration = 59.43 + 0.001),
 b = list(concentration = 59.43))
 estimate       se   lower   upper tvalue  df    pvalue
  0.06229 0.005346 0.05181 0.07277  11.65 Inf 2.247e-31

Since \(\text{LD}_{50} = -\beta_0/\beta_1\) we can substitute this for \(x\) in the expression for the instantaneous marginal effect. Simplifying gives \[ \frac{\beta_1e^{\beta_0 + \beta_1 (-\beta_0/\beta_1)}}{(1 + e^{\beta_0 + \beta_1 (-\beta_0/\beta_1)})^2} = \beta_1/4. \] So then we have

dmethod(m, pfunc = "b1/4", pname = c("b0","b1"))
 estimate       se   lower   upper tvalue  df   pvalue
  0.06229 0.005346 0.05181 0.07277  11.65 Inf 2.25e-31

but since \(\beta_1/4 = a_0\beta_0 + a_1\beta_1\) where \(a_0 = 0\) and \(a_1 = 1/4\) we can do this using lincon as well.

lincon(m, a = c(0,0.25))
          estimate       se   lower   upper tvalue  df   pvalue
(0,1/4),0  0.06229 0.005346 0.05181 0.07277  11.65 Inf 2.25e-31

Example: Returning the the bliss data and model, consider the discrete marginal effect of increasing dose from 50 to 60 mg/liter. This is \[ \frac{e^{\beta_0+\beta_160}}{1 + e^{\beta_0+\beta_160}} - \frac{e^{\beta_0+\beta_150}}{1 + e^{\beta_0+\beta_150}}. \] This is a nonlinear function of \(\beta_0\) and \(\beta_1\). We can apply the delta method as follows.

dmethod(m, pfunc = "plogis(b0 + b1*60) - plogis(b0 + b1*50)", pname = c("b0","b1"))
 estimate      se  lower  upper tvalue  df    pvalue
   0.4483 0.02796 0.3935 0.5031  16.03 Inf 7.657e-58

Note that the R function plogis is \(e^{x}/(1+e^{x})\) so that saves us a little typing. The margeff function does the same thing but is maybe easier to use here.

margeff(m, a = list(concentration = 60), b = list(concentration = 50))
 estimate      se  lower  upper tvalue  df    pvalue
   0.4483 0.02796 0.3935 0.5031  16.03 Inf 7.657e-58

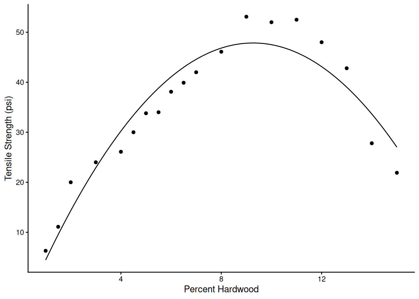
Example: Consider a polynomial regression model for the expected tensile strength as a function of percent hardwood such that \[ E(S_i) = \beta_0 + \beta_1 p_i + \beta_2 p_i^2, \] where \(S_i\) is tensile strength and \(p_i\) is percent hardwood. Here is what the estimated model looks like.

library(GLMsData)
data(paper) 
m <- lm(Strength ~ Hardwood + I(Hardwood^2), data = paper)
summary(m)$coefficients
              Estimate Std. Error t value  Pr(>|t|)
(Intercept)    -6.6742    3.39971  -1.963 6.725e-02
Hardwood       11.7640    1.00278  11.731 2.854e-09
I(Hardwood^2)  -0.6345    0.06179 -10.270 1.894e-08
d <- data.frame(Hardwood = seq(1, 15, length = 100))
d$yhat <- predict(m, newdata = d)
p <- ggplot(paper, aes(x = Hardwood, y = Strength)) + 
  geom_point() + theme_classic() + 
  geom_line(aes(y = yhat), data = d) + 
  labs(x = "Percent Hardwood", y = "Tensile Strength (psi)")
plot(p)

Now consider the problem of estimating (a) the value of percent hardwood at which expected tensile strength is maximized, and (b) the maximum expected tensile strength. The percent hardwood that maximizes expected tensile strength (\(p_m\)) can be derived as \[ \frac{d (\beta_0 + \beta_1 p + \beta_2 p^2)}{d p} = \beta_1 + 2\beta_2p = 0 \Rightarrow p_m = \frac{-\beta_1}{2\beta_2}. \] Now if we replace \(p\) with \(p_m\) in \(E(S) = \beta_0 + \beta_1 p + \beta_2 p^2\) we find the maximum expected tensile strength (\(s_m\)) to be \[ s_m = \beta_0 + \beta_1 \frac{-\beta_1}{2\beta_2} + \beta_2 \left(\frac{-\beta_1}{2\beta_2}\right)^2 = \frac{4\beta_0\beta_2 - \beta_1^2}{4\beta_2}. \] Both \(p_m\) and \(s_m\) are nonlinear functions of \(\beta_0\), \(\beta_1\) and \(\beta_2\).

dmethod(m, pfunc = "-b1/(2*b2)", pname = c("b0","b1","b2"))
 estimate     se lower upper tvalue  df pvalue
     9.27 0.2344  8.81 9.729  39.55 Inf      0
dmethod(m, pfunc = "(4*b0*b2-b1^2)/(4*b2)", pname = c("b0","b1","b2"))
 estimate    se lower upper tvalue  df     pvalue
    47.85 1.495 44.92 50.78  32.01 Inf 7.656e-225

Whenever possible try to check these kinds of estimates against a plot of the data and/or model to catch errors.

Example: Consider a study on moth coloration and predation.

library(Sleuth3)
m <- glm(cbind(Removed, Placed - Removed) ~ Distance + Morph + 
  Distance:Morph, data = case2102, family = binomial)

d <- expand.grid(Distance = seq(0, 100, length = 100), Morph = c("light","dark"))
d$yhat <- predict(m, d, type = "response")

p <- ggplot(case2102, aes(x = Distance, y = Removed/Placed)) + 
  geom_point(aes(fill = Morph), size = 2, shape = 21) + 
  geom_line(aes(y = yhat, linetype = Morph), data = d) + 
  scale_fill_manual(values = c("black","white")) + theme_classic() + 
  labs(y = "Observed/Expected Proportion", x = "Distance from Liverpool (km)")
plot(p)

Suppose we want to estimate the point at which the two curves cross. First consider the model parameterization.

summary(m)$coefficients
                    Estimate Std. Error z value  Pr(>|z|)
(Intercept)         -1.12899   0.197906  -5.705 1.166e-08
Distance             0.01850   0.005645   3.277 1.048e-03
Morphlight           0.41126   0.274490   1.498 1.341e-01
Distance:Morphlight -0.02779   0.008085  -3.437 5.884e-04

This model can be written as \[ E(Y_i) = \frac{e^{\eta_i}}{1 + e^{\eta_i}}, \] where \(Y_i\) is the \(i\)-th observation of the proportion of removed moths, and the linear predictor \(\eta_i\) is parameterized as \[ \eta_i = \begin{cases} \beta_0 + \beta_1 d_i, & \text{if the morph of the $i$-th observation is dark}, \\ \beta_0 + \beta_2 + (\beta_1 + \beta_3) d_i, & \text{if the morph of the $i$-th observation is light}, \end{cases} \] where \(d_i\) is the distance from Liverpool for the \(i\)-th observation. Let \(d_c\) be the distance at which the expected proportions are equal for both light and dark moths, then \(d_c\) must satisfy the equation \[ \beta_0 + \beta_1 d_c = \beta_0 + \beta_2 + (\beta_1 + \beta_3)d_c. \] Solving this equation for \(d_c\) gives \(d_c = -\beta_2/\beta_3\) (assuming that \(\beta_3 \neq 0\)). Note that \(d_c\) is a nonlinear function of \(\beta_2\) and \(\beta_3\). Inferences concerning \(d_c\) can be made using the delta method.

dmethod(m, pfunc = "-b2/b3", pname = c("b0","b1","b2","b3"))
 estimate    se lower upper tvalue  df  pvalue
     14.8 6.563 1.937 27.66  2.255 Inf 0.02413

Example: Suppose we want to estimate the values of two explanatory variables that maximize (or minimize) and expected response.

m <- lm(Yield ~ Time + Temp + I(Time^2) + I(Temp^2) + 
 I(Time*Temp), data = rsm::ChemReact)

d <- expand.grid(Time = seq(77, 93, length = 100),
 Temp = seq(160, 185, length = 100))
d$yhat <- predict(m, newdata = d)

p <- ggplot(d, aes(x = Time, y = Temp, z = yhat))
p <- p + geom_contour(bins = 20) + theme_classic()
plot(p)

The model is \[ E(Y_i) = \beta_0 + \beta_1 \text{time}_i + \beta_2 \text{temp}_i + \beta_3 \text{time}_i^2 + \beta_4 \text{temp}_i^2 + \beta_5 \text{time}_i\text{temp}_i, \] where \(Y_i\) is yield. Let \(a_m\) and \(b_m\) be the values of time and temperature, respectively, that maximize \(E(Y)\). These satisfy \[\begin{align*} \frac{\partial (\beta_0 + \beta_1 a_m + \beta_2 b_m + \beta_3 a_m^2 + \beta_4 b_m^2 + \beta_5 a_m b_m)}{\partial a_m} & = 0, \\ \frac{\partial (\beta_0 + \beta_1 a_m + \beta_2 b_m + \beta_3 a_m^2 + \beta_4 b_m^2 + \beta_5 a_m b_m)}{\partial b_m} & = 0. \end{align*}\] Solving this system of equations for \(a_m\) and \(b_m\) we get \[ a_m = \frac{2\beta_1\beta_4 - \beta_2\beta_5}{\beta_5^2-4\beta_3\beta_4} \ \ \ \text{and} \ \ \ b_m = \frac{2\beta_2\beta_3 - \beta_1\beta_5}{\beta_5^2-4\beta_3\beta_4}. \] These can be estimated as follows.

dmethod(m, pfunc = "(2*b1*b4 - b2*b5)/(b5^2 - 4*b3*b4)",
  pname = c("b0","b1","b2","b3","b4","b5"))
 estimate    se lower upper tvalue  df     pvalue
    86.86 2.738  81.5 92.23  31.72 Inf 7.422e-221
dmethod(m, pfunc = "(2*b2*b3 - b1*b5)/(b5^2 - 4*b3*b4)",
  pname = c("b0","b1","b2","b3","b4","b5"))
 estimate    se lower upper tvalue  df pvalue
    176.7 3.759 169.3   184     47 Inf      0

There are functions from several other packages that will implement the delta method in various ways. Most are not as flexible as the dmethod function from the trtools package, but the hypotheses function from the marginaleffects package is quite flexible.

Using dmethod for Linear Functions of Model Parameters

We can use the delta method for linear functions of model parameters. It essentially provides an alternative interface to specifying the function.

Example: Consider again the model for the whiteside data.

m <- lm(Gas ~ Insul + Temp + Insul:Temp, data = MASS::whiteside)
summary(m)$coefficients
                Estimate Std. Error t value  Pr(>|t|)
(Intercept)       6.8538    0.13596  50.409 7.997e-46
InsulAfter       -2.1300    0.18009 -11.827 2.316e-16
Temp             -0.3932    0.02249 -17.487 1.976e-23
InsulAfter:Temp   0.1153    0.03211   3.591 7.307e-04

The model can be written as \[ E(G_i) = \begin{cases} \beta_0 + \beta_2 t_i, & \text{if $i$-th observation is before insulation}, \\ \beta_0 + \beta_1 + (\beta_2 + \beta_3) t_i, & \text{if $i$-th observation is after insulation}. \end{cases} \]

1.\(\!\) Rate of change before insulation: \[\ell = 0\beta_0 + 0\beta_1 + 1\beta_2 + 0\beta_3 = \beta_2.\]

lincon(m, a = c(0,0,1,0))
            estimate      se   lower   upper tvalue df    pvalue
(0,0,1,0),0  -0.3932 0.02249 -0.4384 -0.3481 -17.49 52 1.976e-23
dmethod(m, pfunc = "b2", pname = c("b0","b1","b2","b3"))
 estimate      se   lower   upper tvalue  df    pvalue
  -0.3932 0.02249 -0.4373 -0.3492 -17.49 Inf 1.789e-68

2.\(\!\) Rate of change after insulation: \[\ell = 0\beta_0 + 0\beta_1 + 1\beta_2 + 1\beta_3 = \beta_2 + \beta_3.\]

lincon(m, a = c(0,0,1,1))
            estimate      se   lower   upper tvalue df    pvalue
(0,0,1,1),0  -0.2779 0.02292 -0.3239 -0.2319 -12.12 52 8.936e-17
dmethod(m, pfunc = "b2 + b3", pname = c("b0","b1","b2","b3"))
 estimate      se   lower  upper tvalue  df    pvalue
  -0.2779 0.02292 -0.3229 -0.233 -12.12 Inf 7.877e-34

3.\(\!\) Expected gas consumption before insulation at 5C: \[\ell = 1\beta_0 + 0\beta_1 + 5\beta_2 + 0\beta_3 = \beta_0 + 5\beta_2.\]

lincon(m, a = c(1,0,5,0))
            estimate      se lower upper tvalue df    pvalue
(1,0,5,0),0    4.888 0.06383  4.76 5.016  76.57 52 3.885e-55
dmethod(m, pfunc = "b0 + 5*b2", pname = c("b0","b1","b2","b3"))
 estimate      se lower upper tvalue  df pvalue
    4.888 0.06383 4.763 5.013  76.57 Inf      0

Note that dmethod does not automatically use finite degrees of freedom (where applicable). The reason is that when we use the delta method, we are relying on an approximation that does not use the \(t\)-distribution. But to make the method match lincon, we can specify it manually.

dmethod(m, pfunc = "b0 + 5*b2", pname = c("b0","b1","b2","b3"), df = 52)
 estimate      se lower upper tvalue df    pvalue
    4.888 0.06383  4.76 5.016  76.57 52 3.885e-55